您的當前位置:網站首頁 > 新聞中心 > 產品知識 > 如何選擇齒輥式矸石破碎機的工作參數?
發布時間:2013-12-06 16:43:39
更新時間:2021-07-01 16:43:39
作者:小琪
歡迎
在線咨詢
獲取報價清單及產品資料,賺錢從這里開始、期待您的來廠參觀!
1 矸石破碎機 2 設備廠家
齒輥式矸石破碎機采用沖擊破碎與剪切拉伸相結合的破碎原理,兩破碎齒輥采用差速設計,可解決齒輥破碎機難破碎濕粘物料的問題。在設計破碎機的過程中,要合理選擇其工作參數,具體方法如下文介紹。

齒輥轉速直接影響到破碎機的性能。該破碎機采用沖擊破碎與剪切拉伸破碎相結合的破碎原理,沖擊破碎可使物料獲得較大的破碎功,剪切拉伸破碎又可使物料沿本身存在的晶格缺陷和紋理缺陷的方向破碎;
既節省了破碎功耗,又大大增加了物料的破碎比。試驗表明,該種齒輥破碎機的齒輥線速度在20~30 m/s之間時效果較好。
為滿足大破碎比的要求,將設備設計為上下兩段破碎腔,上下段破碎比按下式計算:
,式中:i1 為上段破碎比;i2為下段破碎比;N1為上段安裝功率; N2為下段安裝功率。
破碎機的有效功率為安裝功率的50%~80%時,破碎機的運轉較佳,故障也比較少。
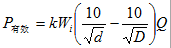
,式中P電機 為裝機功率(kW),P有效 為齒輥破碎功率(kW)。有效功率的計算按第三破碎理論,即:
,式中k是系數,細碎時一般取1;Wi是功指數(kW.h/t);d是出料粒度直徑(um);D是入料粒度直徑(um),Q是生產能力(t/h)。
現在較常用的經驗為,齒輥直徑與入料粒度之比為:φ/D≥0.8~1.5。
破碎硬物料時,L/φ=0.30.7;破碎軟物料時,L/φ=1.252.5。
廠家地址:中國鄭州高新技術開發區檀香路8號,咨詢電話:0371-67772626
上一篇:齒輥式矸石破碎機的結構及工作原理
![]()
![]()
在線留言想了解價格?產量?型號?售后?請留言,我們第一時間為您回復